• עברית
  • English
  • العربية
  • Русский

יום אהבה זה זמן לשניים ועכשיו במיוחד

  • עברית
  • English
  • العربية
  • Русский

ביוכימיה של שריפת שומן: התהליכים המולקולריים בירידה במשקל

בעולם הדיאטות והכושר, המונח "שריפת שומן" הוא מילת מפתח שכולנו מכירים. אך מה באמת קורה בגוף שלנו ברמה המולקולרית כשאנחנו מאבדים משקל? הבנת התהליכים הביוכימיים מאחורי ירידה במשקל יכולה לא רק לספק תובנות מרתקות, אלא גם לעזור לנו לפתח אסטרטגיות יעילות יותר לשמירה על חיים בריאים. מדעי הדיאטה המודרניים חושפים את המורכבות המדהימה של תהליכי שריפת השומן בגוף, ומראים כיצד כל החלטה תזונתית משפיעה על המערכות הביולוגיות שלנו.

תהליך שריפת השומן ברמה המולקולרית

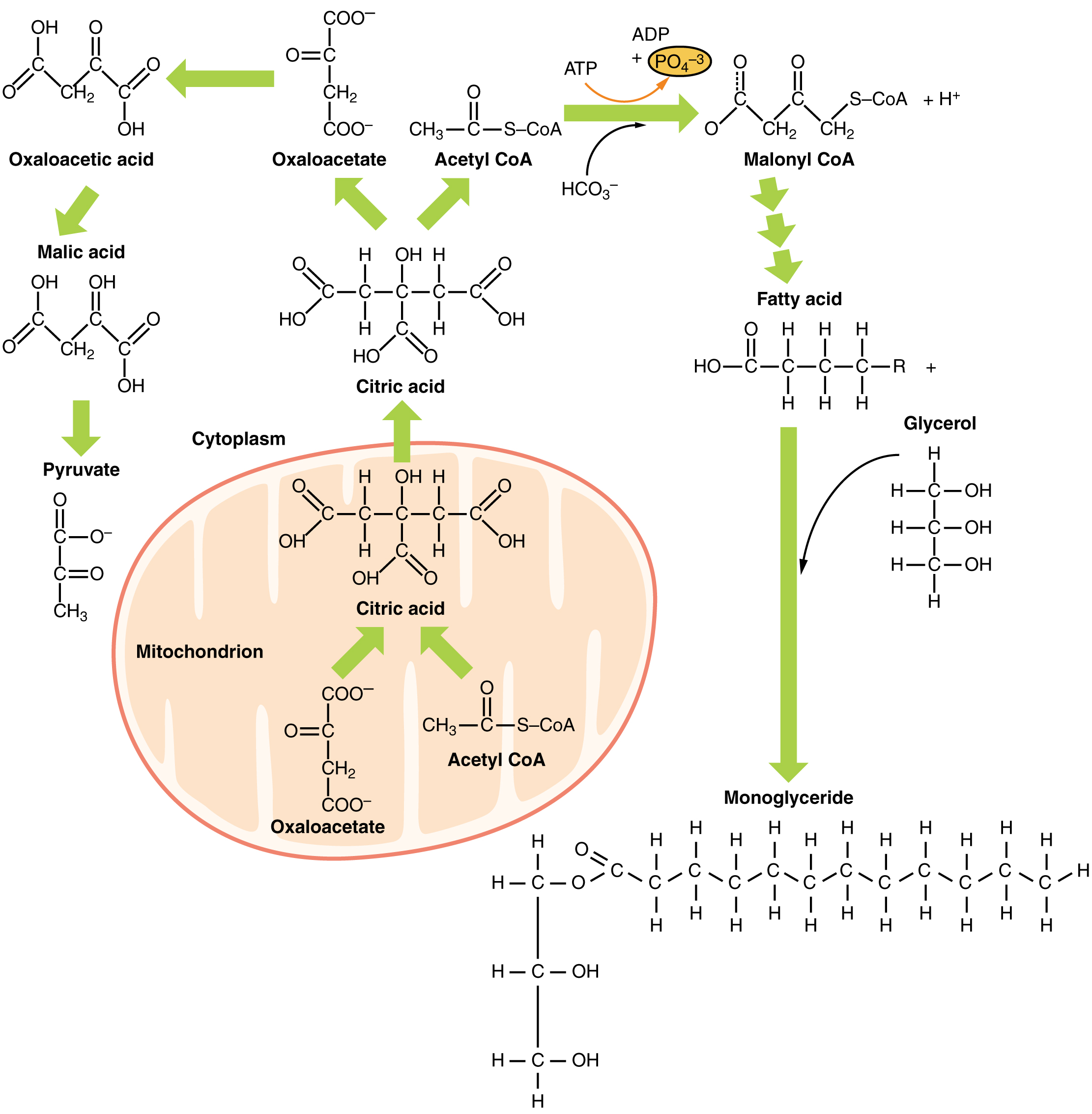
שריפת שומן, או בשמה המדעי ליפוליזה, היא תהליך מורכב שמתחיל כאשר הגוף זקוק לאנרגיה ואין לו מספיק גלוקוז זמין. בשלב זה, הורמונים כמו אדרנלין וגלוקגון משתחררים לזרם הדם ומעוררים את פירוק מולקולות השומן (טריגליצרידים) לחומצות שומן חופשיות וגליצרול. חומצות השומן נכנסות למיטוכונדריה – "תחנות הכוח" של התאים – שם הן עוברות תהליך הנקרא בטא-חמצון. בתהליך זה, החומצות מתפרקות ליחידות קטנות יותר שמשמשות ליצירת ATP, מטבע האנרגיה של הגוף. מחקר שפורסם ב-Cell Metabolism ב-2024 חשף כי תהליך זה מושפע מאוד מהרכב התזונה ומרמת הפעילות הגופנית, כאשר דיאטה עשירה בשומנים בריאים ודלה בפחמימות פשוטות, בשילוב עם פעילות גופנית סדירה, מגבירה את היעילות של תהליכי שריפת השומן.

הורמונים ושריפת שומן

הורמונים משחקים תפקיד מכריע בתהליכי שריפת השומן. אינסולין, למשל, הוא הורמון אנבולי שמעודד אחסון של אנרגיה ומעכב שריפת שומן. מנגד, הורמונים כמו גלוקגון, אדרנלין וקורטיזול מעודדים שריפת שומן. הבנת האיזון העדין בין הורמונים אלה יכולה לעזור בתכנון תפריטי דיאטה יעילים יותר. למשל, צריכת ארוחות קטנות ותכופות לאורך היום יכולה לעזור בשמירה על רמות אינסולין יציבות ולעודד שריפת שומן מתמשכת. בנוסף, פעילות גופנית לירידה במשקל מגבירה את הפרשת ההורמונים המעודדים שריפת שומן, מה שמסביר את היעילות של שילוב דיאטה וספורט בתהליכי הרזיה.

תפקיד המיטוכונדריה בשריפת שומן

המיטוכונדריה, הידועות כ"תחנות הכוח" של התאים, הן המקום העיקרי שבו מתרחשת שריפת השומן. מחקרים עדכניים מראים כי הגדלת מספר וגודל המיטוכונדריה בתאי השריר יכולה להגביר משמעותית את יכולת הגוף לשרוף שומן. פעילות גופנית, במיוחד אימוני עצימות גבוהה לסירוגין (HIIT), נמצאה כיעילה במיוחד בהגדלת נפח המיטוכונדריה ושיפור יעילותן. בנוסף, מזונות עשירים בנוגדי חמצון, כמו ירקות עליים ופירות יער, יכולים לתמוך בבריאות המיטוכונדריה ולשפר את יעילות שריפת השומן.

השפעת התזונה על תהליכי שריפת שומן

התזונה משחקת תפקיד מכריע בוויסות תהליכי שריפת השומן. סוגי דיאטות שונים יכולים להשפיע באופן שונה על המנגנונים הביוכימיים של שריפת שומן. למשל, דיאטה קטוגנית, העשירה בשומנים ודלה מאוד בפחמימות, מאלצת את הגוף להסתמך יותר על שריפת שומן כמקור אנרגיה עיקרי. מצד שני, דיאטה מאוזנת עם דגש על פחמימות מורכבות וחלבונים איכותיים יכולה לתמוך בשריפת שומן יעילה תוך שמירה על מסת שריר. חשוב לציין כי מאכלים בריאים כמו אבוקדו, אגוזים וזרעי פשתן, העשירים בחומצות שומן חיוניות, יכולים לתמוך בתהליכי שריפת שומן על ידי שיפור הרגישות לאינסולין ותמיכה בבריאות המיטוכונדריה.

אסטרטגיות מעשיות לעידוד שריפת שומן

על בסיס ההבנה של התהליכים הביוכימיים, ניתן לפתח אסטרטגיות יעילות לעידוד שריפת שומן. ראשית, שילוב של אימוני התנגדות ואימונים אירוביים יכול למקסם את שריפת השומן על ידי הגדלת מסת השריר והגברת הפעילות המיטוכונדריאלית. שנית, תזמון נכון של ארוחות, כמו צום לסירוגין או הגבלת חלון האכילה, יכול לעודד את הגוף להסתמך יותר על שומן כמקור אנרגיה. שלישית, הקפדה על שינה איכותית חשובה, שכן חוסר שינה יכול לשבש את האיזון ההורמונלי ולהפחית את יעילות שריפת השומן. לבסוף, ניהול לחץ באמצעות טכניקות כמו מדיטציה או יוגה יכול לעזור בהפחתת רמות הקורטיזול, הורמון שבעודף יכול לעודד אחסון שומן.

תוספי תזונה ושריפת שומן

בעוד שתזונה נכונה ופעילות גופנית הם הבסיס לשריפת שומן יעילה, תוספי תזונה מסוימים יכולים לתמוך בתהליכים אלה. חברת FEEL מציעה מגוון תוספים שנועדו לתמוך בתהליכי שריפת השומן ברמה המולקולרית. למשל, תוסף ה-Metabolic Booster של FEEL מכיל מרכיבים כמו תה ירוק, קפאין וכרום, שנמצאו כמגבירים את קצב חילוף החומרים ותומכים בשריפת שומן. בנוסף, תוסף ה-Mitochondrial Support שלהם מכיל קואנזים Q10 וחומצה אלפא-ליפואית, שידועים בתמיכתם בבריאות המיטוכונדריה ובשיפור יעילות ייצור האנרגיה בתאים. חשוב לזכור כי תוספים אלה נועדו להשלים תזונה מאוזנת ואורח חיים בריא, ולא להחליפם.

המסע לשריפת שומן יעילה

הבנת התהליכים הביוכימיים מאחורי שריפת שומן מספקת לנו כלים חזקים לשיפור הבריאות ולהשגת יעדי המשקל שלנו. זכרו כי כל אדם הוא ייחודי, וההרכב הגנטי, הרגלי החיים והסביבה משפיעים על האופן שבו הגוף שלנו מגיב לשינויים בתזונה ובפעילות הגופנית. לכן, חשוב להקשיב לגוף ולהתאים את האסטרטגיות באופן אישי. אם אתם מעוניינים לקבל תמיכה נוספת במסע שלכם לשריפת שומן יעילה, שקלו לבקר באתר http://myfeelstore.com/ כדי ללמוד עוד על התוספים של FEEL ועל הדרכים שבהן הם יכולים לתמוך במאמצי הירידה במשקל שלכם. זכרו, שינוי אמיתי ובר-קיימא מגיע מהבנה עמוקה של הגוף שלנו ומאימוץ גישה כוללנית לבריאות ולרווחה.

גלילה לראש העמוד
דילוג לתוכן